欢迎来到国家知识服务平台中医药分平台

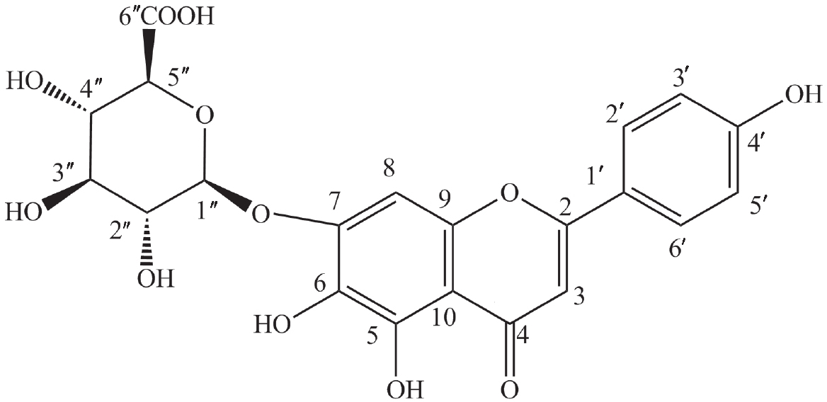
黄酮类·野黄芩苷

收藏(0)

scutellarin

查看英文介绍
  • CAS号:

    27740-01-8。
  • 分子式:

  • 分子量:

    462。
  • 结构类型:

    黄酮类
  • 主要来源:

    唇形科植物极高黄芩Scutellaria altissima L.、黄芩Scutellaria baicalensis Georgi的叶,半枝莲Scutellaria barbata D.Don的全草等。
  • 主要用途:

    主要用于含野黄芩苷的中药的定性、定量分析。
  • 性状:

    黄色针晶(乙醇)。
  • 熔点:

    300℃。
  • 溶解性:

    溶于乙醇、水。
  • 比旋光度:

    • 红外吸收光谱
    • 质谱
    • 核磁共振图谱及数据
    • 相关中药
    • 相关图片
    • 相关视频

    红外吸收光谱

    质谱

    核磁共振图谱及数据

    氢谱:

    碳谱:

    氢谱数据:

    相关中药

    相关图片

    相关视频